Aller au contenu
Recherche
Ville de Cornillon-Confoux en Provence
Menu
Découvrir / Explorer
Le patrimoine
Les randonnées
Les jardins
Les produits du terroir
Les sites culturels et sportifs
Sortir / Agenda
Galerie photos
Séjourner
Se loger
Se restaurer
Venir/infos pratiques
Vivre à Cornillon-Confoux
Les actualités
Réglementation et Sécurité
Infos travaux
État civil et démarches administratives
Conseil municipal
Publications règlementaires
Enfance et jeunesse
Actions sociales, santé et emploi
Urbanisme et environnement
Tourisme et culture
Activités sportives et loisirs
Les commerces et producteurs
Location de salles
Contacts/Numéros utiles
Les publications
Transports
Sortir / Agenda
Le calendrier des événements
L’Oppidum
Les rendez-vous de la médiathèque
Brochure
Recherche
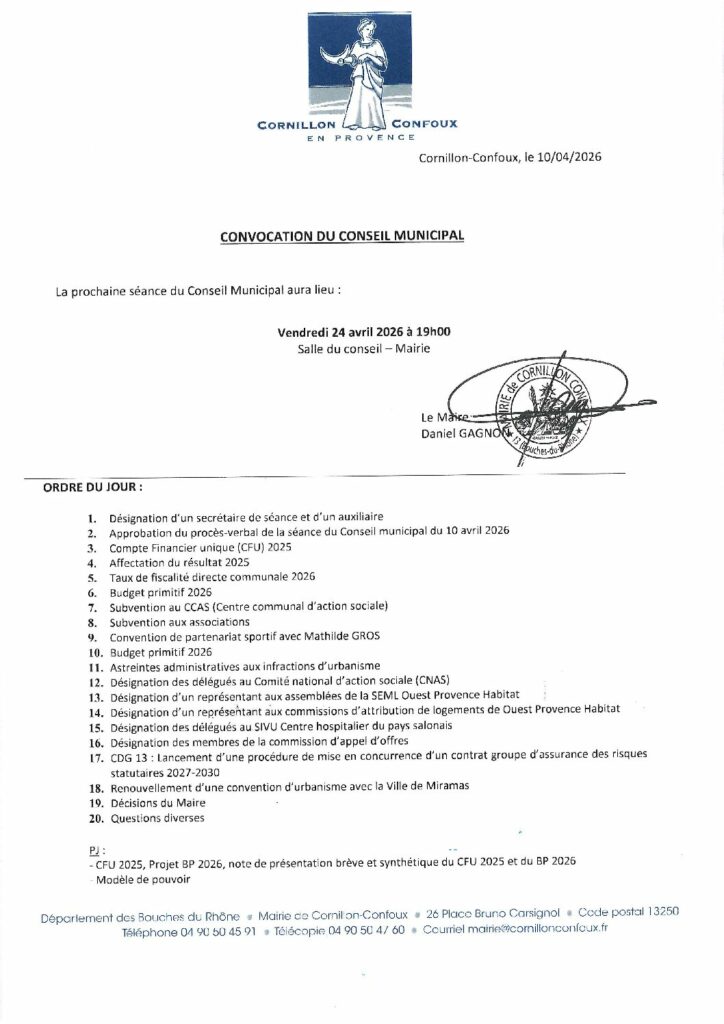
Conseil Municipal du 24.04.2026 – CONVOCATION
←
Retour
Conseil Municipal du 24.04.2026 – CONVOCATION
←
24 avril 2026
→
Gazette Janvier 2026